Péndulo en coordenadas cartesianas y polares
En este ejemplo se muestran dos implementaciones diferentes de un péndulo planar.
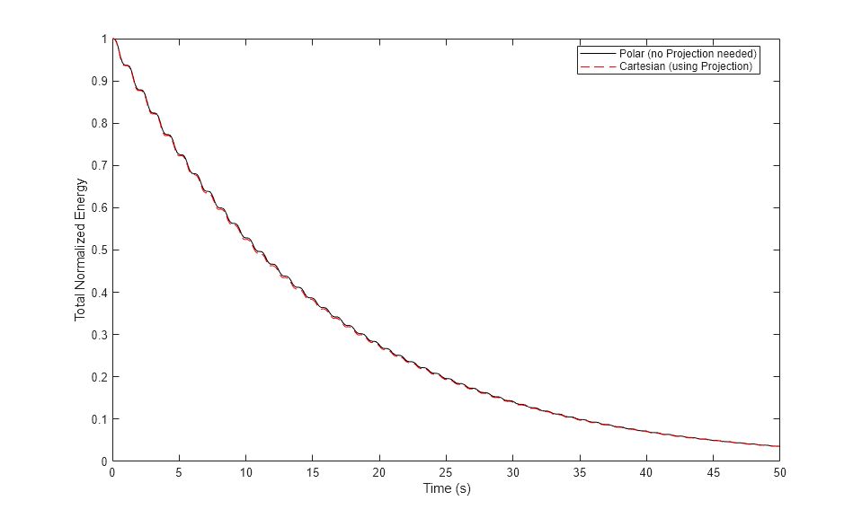
La implementación en coordenadas cartesianas tiene un índice diferencial elevado, lo que significa que para simular este modelo se requiere una reducción no lineal del índice con el método Projection.
La implementación en coordenadas polares no tiene un índice diferencial elevado, lo que significa que no se requiere una reducción no lineal del índice.
Modelo

Configuración del modelo
La implementación cartesiana de un péndulo planar tiene un índice diferencial de tres, y no es admisible con el método Derivative Replacement. El único método para simular esta implementación con éxito es "Projection"; no se deben utilizar los métodos "None" y "Derivative replacement".
Resultados de simulación a partir del registro de Simscape
La figura muestra el ángulo del péndulo en función del tiempo. La amplitud disminuye debido a la amortiguación del modelo.

