Contenido principal

Radial Basis Functions for Model Building

Model-Based Calibration Toolbox™ provides a variety of radial basis functions (RBFs). Before using the RBFs to fit your model, try to fit your model with the default Gaussian Process model.

If you decide to use RBFs, the Model Browser has a quick option for comparing all the different RBF kernels and trying a variety of numbers of centers.

  1. After fitting the default RBF, select the RBF global model in the model tree.

  2. Click the Build Models icon.

  3. In the Build Models dialog box, select the RBF icon. Click OK.

  4. The Model Building Options dialog box appears. You can specify a range of values for the maximum number of centers. Click Model settings to change any other model settings. The defaults used are the same as the parent RBF model type.

  5. You can select Build all kernels to create models with the specified range of centers for each kernel type as a selection of child nodes of the current RBF model.

    Note that this process can take a long time for local models because it creates alternative models with a range of centers for each kernel type for each response feature. Once model building begins, you can click Stop to end the process.

  6. Click Build to create the specified models.

Advanced Users: Working with Radial Basis Functions

The RBFs are characterized by the form of and have an associated width parameter . This parameter is related to the spread of the function around its center. The default width is the average over the centers of the distance of each center to its nearest neighbor. This heuristic is given in Hassoun[2] for Gaussians, but it is only a rough guide that provides a starting point for the width selection algorithm.

Radial basis functions have the form

where x is a n-dimensional vector, is an n-dimensional vector called the center of the radial basis function, and ||.|| denotes Euclidean distance and is a univariate function defined for positive input values. Within this example, this is called the profile function.

The model is built up as a linear combination of N radial basis functions with N distinct centers. Given an input vector x, the output of the RBF network is the activity vector , given by

where is the weight associated with the jth radial basis function, centered at , and . The output approximates a target set of values denoted by y.

Another parameter associated with the radial basis functions is the regularization parameter λ. This positive parameter is used in most of the fitting algorithms. The parameter λ penalizes large weights, which tends to produce smoother approximations of y and to reduce the tendency of the network to overfit.

Plan of Attack

Before using the RBFs to fit your model, check that you cannot fit your model with the default Gaussian Process model. If you need to use RBFs, follow these steps to determine which parameters have the greatest impact on fit.

  1. Fit the default RBF. Remove any obvious outliers.

  2. Estimate how many RBFs are required. If a center coincides with a data point, the center is marked with a magenta asterisk on the Predicted/Observed plot. You can view the location of the centers in graphical and table format by using the View Centers button . If you remove an outlier that coincides with a center, refit by clicking Update Fit.

  3. Complete these with more than one kernel. You can alter the parameters in the fit by clicking Set Up in the Model Selection dialog box.

  4. Choose the main width selection algorithm. Try with both TrialWidths and WidPerDim algorithms.

  5. Determine which types of kernel look you want to use.

  6. Narrow the corresponding width range to search again.

  7. Choose the center selection algorithm.

  8. Choose the lambda-selection algorithm.

  9. Try changing the parameters in the algorithms.

  10. If any points appear to be possible outliers, try fitting the model both with and without those points.

Radial Basis Function Modeling Considerations

This table provides considerations for modeling with RBFs.

Consideration
How many RBFs to use
  • The main parameter that you must adjust in order to get a good fit with an RBF is the maximum number of centers. This is a parameter of the center selection algorithm, and is the maximum number of centers and RBFs that is chosen.

  • The maximum number of centers is typically the number of RBFs that are actually selected. However, sometimes fewer RBFs are chosen because the error falls below the tolerance before the maximum is reached.

  • Use a number of RBFs that is lower than the number of data points. Otherwise, the error does not have enough degrees of freedom to estimate the predictive quality of the model. That is, you cannot tell if the model is useful if you use too many RBFs. We recommend an upper bound of 60% on the ratio of number of RBFs to number of data points. Having 80 centers when there are only 100 data points might seem to give a good PRESS value, but during validation, the data can be overfitted, and the predictive capability is not as good as PRESS would suggest.

  • One strategy for choosing the number of RBFs is to fit more centers than you think are needed, then use the Prune button to reduce the number of centers in the model. After pruning the network, note the reduced number of RBFs. Fit the model again with the maximum number of centers set to this reduced number. This optimizes the values of the nonlinear parameters, width and lambda, for the reduced number of RBFs.

  • Use stepwise to minimize PRESS as a final fine-tuning for the network after you have pruned it. Whereas pruning only allows the last RBF introduced to be removed, stepwise allows any RBF to be removed.

  • Do not focus solely on PRESS as a measure of goodness of fit, especially for large ratios of RBFs to data points. Take log10(GCV) into account also.

Width selection algorithms
  • Try both TrialWidths and WidPerDim. The second algorithm offers more flexibility than the first, but is more computationally expensive. View the width values in each direction to evaluate if there is significant difference, to see whether it is worth focusing effort on elliptical basis functions.

    Trial widths images.

  • If the widths do not vary significantly between the dimensions with a variety of basis functions, and the PRESS and GCV values are not significantly improved using WidPerDim over TrialWidths, then use TrialWidths. Return to WidPerDim to fine-tune in the final stages.

  • Enable the Display option in TrialWidths to see the progress of the algorithm. Check for alternative regions within the width range that have been prematurely neglected. The output log10(GCV) in the final zoom should be similar for each width, that is, the output should be approximately flat. If the output is not approximately flat, try increasing the number of zooms.

  • In TrialWidths, for each type of RBF, narrow the initial range of widths to search over. This action might allow the number of zooms to be reduced.

Which RBF to use
  • The best RBF is highly data-dependent. The best guideline is to try each method with both top-level algorithms (TrialWidths and WidPerDim) and with a sensible number of centers, compare the PRESS and GCV values, then focus on the ones that look most hopeful.

  • If multiquadrics and thin-plate splines give poor results, try them in combination with low-order polynomials as a hybrid spline. Supplement multiquadrics with a constant term and thin-plate splines with linear terms.

  • Check for conditioning problems with Gaussian kernels.

  • Check for unexpected results with Wendland functions when the ratio of the number of parameters to the number of observations is high. When these functions have a small width, each basis function contributes to the fit only at one data point because its support only encompasses the one basis function that is its center. The residuals will be zero at each of the data points chosen as a center and large at the other data points. This scenario can indicate good RMSE values, but the predictive quality of the network will be poor.

Lambda selection algorithms

Lambda is the regularization parameter.

  • IterateRols updates the centers after each update of lambda. This action makes the algorithm more computationally intensive but can lead to a better combination of lambda and centers.

  • StepItRols is sensitive to the setting of Number of centers to add before updating. Enable the Display option to view how log10(GCV) reduces as the number of centers increases.

  • Examine the plots produced from the lambda selection algorithm. Ignore the warning An excessive number of plots will be produced. Consider if increasing the tolerance or the number of initial test values for lambda could lead to a better choice of lambda.

Fitting too many non-RBF terms is results in a large value of lambda, indicating that the underlying trends are being addressed by the linear part. In this case, you should reset the starting value of lambda before the next fit.

Center selection algorithms
  • On most problems, Rols is the most effective.

  • If less than the maximum number of centers are being chosen, and you want to force the selection of the maximum number, reduce the tolerance to epsilon (eps).

  • CenterExchange is expensive. You should not use this algorithm on large problems. In this case, the other center selection algorithms that restrict the centers to be a subset of the data points might not offer sufficient flexibility.

General parameter fine-tuning
  • Try stepwise after pruning, then update the model fit with the new maximum number of centers set to the number of terms left after stepwise.

  • Update the model fit after you remove outliers.

Hybrid RBFs

Go to the linear part pane and specify the polynomial or spline terms that you expect to see in the model.

How to find RBF model formula

With any model, you can use the View Model button or View > Model Definition to see the details of the current model. On the Model Viewer dialog box, you can see the kernel type, number of centers, and the width and regularization parameters for any RBF model.

However, to completely specify the formula of an RBF model, you also need to provide the locations of the centers and the height of each basis function. The center location information is available in the View Centers dialog box. View the coefficients in the Stepwise window. Note that these values are all in coded units.

Types of Radial Basis Functions

Within the Model Setup dialog box, you can choose which RBF kernel to use. Kernels are the types of RBF. This table describes the types.

RBF KernelDescription
Gaussian

Gaussian functions are the radial basis functions most commonly used in the neural network community. The profile function is

This profile function leads to the radial basis function

In this case, the width parameter is the same as the standard deviation of the Gaussian function.

Gaussian with width equal to 0.5.

Thin-plate spline

A thin-plate spline radial basis function is an example of a smoothing spline, as popularized by Grace Wahba (http://www.stat.wisc.edu/~wahba/). They are usually supplemented by low-order polynomial terms.

Thin plate spline with width equal to 0.5.

Logistic basis function

Logistic radial basis functions are mentioned in Hassoun[2]. The profile function is

Logistic RBF with width equal to 0.5.

Wendland's compactly supported function

Wendland's compactly supported functions form a family of radial basis functions that have a piecewise polynomial profile function and compact support[7]. Which function you choose depends on the dimension of the space (n) from which the data is drawn and the desired amount of continuity of the polynomials.

DimensionContinuityProfile

n=1

0

2

4

n=3

0

2

Φ(r)=(1r)4+(4r+1)

4

n=5

0

2

4

We have used the notation for the positive part of a.

When n is even, the radial basis function corresponding to dimension n+1 is used.

Note that each radial basis function is nonzero when r is in [0,1]. You can change the support to be by replacing r by in the preceding formula. The parameter is still referred to as the width of the radial basis function.

Similar formulas for the profile functions exist for n>5, and for even continuity > 4. Wendland's functions are available up to an even continuity of 6, and in any space dimension n.

Note

  • Better approximation properties are usually associated with higher continuity.

  • For a given data set, the width parameter for Wendland's functions should be larger than the width chosen for Gaussian functions.

    Compactly supported C6 RBF with width equal to 0.5.

Multiquadrics

Multiquadrics kernels are a popular tool for scattered data fitting. They have the profile function .

Reciprocal multiquadrics

Reciprocal multiquadrics have the profile function

Note that a width of zero is invalid.

Reciprocal multi quadric with width equal to 0.5.

Linear

Linear kernels have the profile function .

Linear kernel with width equal to 1.0.

Cubic

Cubic kernels have the profile function .

Cubic kernel with width equal to 1.0.

Fitting Routines

RBFs have four characteristics to consider: weights, centers, width, and λ. Each of these can have significant impact on the quality of the resulting fit. You must determine good values for each characteristic. The weights are always determined by specifying the centers, width, and λ, then solving an appropriate linear system of equations. However, the initial problem of determining good centers, width, and λ is complex due the strong dependencies among the parameters. For example, the optimal λ varies considerably as the width parameter changes. A global search over all possible center locations, width, and λ is computationally prohibitive in all but the simplest of situations.

To combat this problem, the fitting routines come in three different levels.

At the lowest level are the algorithms that choose appropriate centers for given values of width and λ. The centers are chosen one at a time from a candidate set. The resulting centers are therefore ranked in rough order of importance.

At the middle level are the algorithms that choose appropriate values for λ and the centers, given a specified width.

At the top level are the algorithms that find good values for each of the centers, width, and λ. These top-level algorithms test different width values. For each value of width, one of the middle-level algorithms is called that determines good centers and values for λ.

Center Selection Algorithms

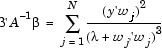
Rols.  Rols (regularized orthogonal least squares) is the basic algorithm as described in Chen, Chng, and Alkadhimi[1]. In Rols, the centers are chosen one at a time from a candidate set consisting of all the data points or a subset thereof. The algorithm picks new centers in a forward selection procedure. Starting from zero centers, at each step, the center that most greatly reduces the regularized error is selected. At each step, the regression matrix X is decomposed using the Gram-Schmidt algorithm into a product X = WB where W has orthogonal columns and B is upper triangular with ones on the diagonal. This calculation is similar in nature to a QR decomposition. Regularized error is given by , where g = Bw and e is the residual, given by . Minimizing regularized error makes the sum square error small and also does not let get too large. As g is related to the weights by g = Bw, this calculation keeps the weights under control and reduces overfit. The term rather than the sum of the squares of the weights is used to improve efficiency.

The algorithm terminates either when the maximum number of centers is reached or when adding new centers does not significantly decrease the regularized error ratio.

Fit ParameterDescription
Maximum number of centersThe maximum number of centers that the algorithm can select. The default is the smaller of 25 centers or π of the number of data points. The format is min(nObs/4,25). You can enter a value or edit the existing formula.
Percentage of data to be candidate centers

The percentage of the data points that should be used as candidate centers. This parameter determines the subset of the data points that form the pool to select the centers from. The default is 100%, that is, to consider all the data points as possible new centers. Reduce this parameter value to speed up the execution time.

Regularized error tolerance

The number of centers that are selected before the algorithm stops. See Chen, Chng, and Alkadhimi[1]for details. This parameter should be a positive number between 0 and 1. Larger tolerances mean that fewer centers are selected. The default is 0.0001. If fewer than the maximum number of centers is chosen and you want to force the selection of the maximum number, reduce the tolerance to epsilon (eps).

RedErr.  RedErr stands for reduced error. This algorithm starts from zero centers, and selects centers in a forward selection procedure. The algorithm finds the data point with the largest residual, and chooses that data point as the next center. This process is repeated until the maximum number of centers is reached.

This algorithm has only the Number of centers fit parameter.

WiggleCenters.  This algorithm is based on a heuristic that puts more centers in a region where there is more variation in the residual. For each data point, a set of neighbors is identified as the data points within a distance of sqrt(nf) divided by the maximum number of centers, where nf is the number of factors. The average residuals within the set of neighbors is computed. Then, the amount of wiggle of the residual in the region of that data point is defined to be the sum of the squares of the differences between the residual at each neighbor and the average residuals of the neighbors. The data point with the most wiggle is selected as the next center.

For fit parameters, this algorithm has the Rols algorithm, except it has no Regularized error tolerance.

CenterExchange.  This algorithm takes a concept from optimal design of experiments and applies it to the center selection problem in radial basis functions. A candidate set of centers is generated by a Latin hypercube, a method that provides a quasi-uniform distribution of points. From this candidate set, n centers are chosen at random. This set is augmented by p new centers, then this set of n+p centers is reduced to n by iteratively removing the center that yields the best PRESS statistic. This process is repeated the number of times specified in Number of augment/reduce cycles.

CenterExchange and Tree Regression are the only algorithms that permit centers that are not located at the data points. Thus, you do not see centers on model plots. The CenterExchange algorithm has the potential to be more flexible than the other center selection algorithms that choose the centers to be a subset of the data points. However, CenterExchange is significantly more time consuming than other center selection algorithms and not recommended on larger problems.

Fit ParameterDescription
Number of centersNumber of chosen centers
Number of augment/reduce cyclesNumber of times the software augments, then reduces the center set
Number of centers to augment byNumber of center sets software will use to augment

Lambda Selection Algorithms

IterateRidge.  For a specified width, this algorithm optimizes the regularization parameter with respect to the GCV criterion.

The initial centers are selected by one of the low-level center selection algorithms. Otherwise, the previous choice of centers is used. You can select an initial start value for λ by testing an initial number of values for lambda that are equally spaced on a logarithmic scale between 10-10 and 10 and choosing the one with the best GCV score. This process helps avoid falling into local minima on the GCV - λ curve. The parameter λ is then iterated to try to minimize GCV. The iteration stops when either the maximum number of updates is reached or the log10(GCV) value changes by less than the tolerance.

Fit ParameterDescription
Center selection algorithmMaximum number of times that the update of λ is made. The default is 10.
Maximum number of updates Maximum number of times that the update of λ is made. The default is 10.
Minimum change in log10(GCV)Tolerance. This parameter defines the stopping criterion for iterating λ. The update stops when the difference in the log10(GCV) value is less than the tolerance. The default is 0.005.
Number of initial test values for lambdaNumber of test values of λ to determine a starting value for λ. Setting this parameter to 0 means that the best λ so far is used.
Do not reselect centers for new widthThis check box determines whether the centers are reselected for the new width value, and after each lambda update, or if the best centers to date are to be used. Keeping the best centers found so far is not computationally expensive and is often sufficient, but this option can cause premature convergence to a particular set of centers.
DisplayWhen you select this check box, this algorithm plots the results of the algorithm. The starting point for λ is marked with a black circle. As λ is updated, the new values are plotted as red crosses connected with red lines. The best λ found is marked with a green asterisk.

IterateRols.  For a specified width, this algorithm optimizes the regularization parameter in the Rols algorithm with respect to the GCV criterion. Rols selects an initial fit and the centers using the user-supplied λ. Specify an initial start value for λ by testing an initial number of start values for lambda that are equally spaced on a logarithmic scale between 10-10 and 10, then select the one with the best GCV score.

λ is then iterated to improve GCV. Each time that λ is updated, the center selection process is repeated. Thus, IterateRols is much more computationally expensive than IterateRidge.

A lower bound of 10-12 is placed on λ, and an upper bound of 10.

Fit ParameterDescription
Center selection algorithmMaximum number of times that the update of λ is made. The default is 10.
Maximum number of updates Maximum number of times that the update of λ is made. The default is 10.
Minimum change in log10(GCV)Tolerance. This defines the stopping criterion for iterating λ; the update stops when the difference in the log10(GCV) value is less than the tolerance. The default is 0.005.
Number of initial test values for lambdaNumber of test values of λ to determine a starting value for λ. Setting this parameter to 0 means that the best λ so far is used.
Do not reselect centers for new widthThis check box determines whether the centers are reselected for the new width value, and after each lambda update, or if the best centers to date are to be used.
DisplayWhen you select this check box, this algorithm plots the results of the algorithm. The starting point for λ is marked with a black circle. As λ is updated, the new values are plotted as red crosses connected with red lines. The best λ found is marked with a green asterisk.

StepItRols.  This algorithm combines the center-selection and lambda-selection processes. Rather than waiting until all centers are selected before is updated, this algorithm allows you to update λ after each center is selected. StepItRols is a forward selection algorithm that, like Rols, selects centers on the basis of regularized error reduction. The stopping criterion for StepItRols is log10(GCV) changing by less than the tolerance more than a specified number of times in a row. Once the addition of centers has stopped, the intermediate fit with the smallest log10(GCV) is selected. This process can involve removing some of the centers that entered late in the algorithm.

Fit ParameterDescription
Maximum number of centersMaximum number of centers that the algorithm can select. The default is the smaller of 25 centers or π of the number of data points. The format is min(nObs/4, 25). You can enter a value.
Percentage of data to be candidate centers

Percentage of the data points that should be used as candidate centers. This determines the subset of the data points that form the pool to select the centers from. The default is 100%, that is, to consider all the data points as possible new centers. This can be reduced to speed up the execution time.

Number of centers to add before updating

How many centers are selected before iterating λ begins.

Minimum change in log10(GCV)Tolerance. It should be a positive number between 0 and 1. The default is 0.005.
Maximum number of times log10(GCV) change is minimalControls how many centers are selected before the algorithm stops. The default is 5. Left at the default, the center selection stops when the log10(GCV) values change by less than the tolerance five times in a row.

Width Selection Algorithms

TrialWidths.  This routine tests several width values by trying different widths. A set of trial widths equally spaced between specified initial upper and lower bounds is selected. The width with the lowest value of log10(GCV) is selected. The area around the best width is then tested in more detail and referred to as a zoom. Specifically, the new range of trial widths is centered on the best width found at the previous range, and the length of the interval from which the widths are selected is reduced to 2/5 of the length of the interval at the previous zoom. Before the new set of trial widths is tested, the center selection is updated to reflect the best width and λ found so far. This can mean that the location of the optimum width changes between zooms because of the new center locations.

Fit ParameterDescription
Lambda selection algorithmMidlevel fit algorithm that you test with the various trial values of λ. The default is IterateRidge.
Number of trial widths in each zoom

Number of trials made at each zoom. The widths tested are equally spaced between the initial upper and lower bounds. Default is 10.

Number of zooms

Number of times you zoom in. Default is 5.

Initial lower bound on widthLower bound on the width for the first zoom. Default is 0.01.
Initial upper bound on width

Upper bound on the width for the first zoom. Default is 20.

Display

If you select this check box, a stem plot of log10(GCV) against width is plotted. The best width is marked by a green asterisk.

WidPerDim.  In WidPerDim (width per dimension), the radial basis functions are generalized. Rather than having a single width parameter, a different width in each input factor can be used, that is, the level curves are elliptical rather than circular. The basis functions are not radially symmetric.

Gaussian with widths equal to 0.6 through 0.25.

This characteristic can be helpful when the amount of variability varies considerably in each input direction. This algorithm offers more flexibility than TrialWidths but is more computationally expensive.

You can set Initial width in the RBF controls on the Global Model Setup dialog box. For most algorithms the Initial width is a single value. However, for WidPerDim, you can specify a vector of widths to use as starting widths.

A vector of widths should be the same number as the number of global variables, and the widths must be in the same order as specified in the test plan. If you provide a single width, all dimensions start off from the same initial width but are likely to move to a vector of widths during model fitting.

An estimation of the time for the width per dimension algorithm is computed. This calculation is given as a number of time units. A time estimate of over 10 but less than 100 generates a warning. A time estimate of over 100 might take a prohibitively long amount of time. You can stop execution and change some of the parameters to reduce the run time.

Fit ParameterDescription
Lambda selection algorithmMidlevel fit algorithm that you test with the various trial values of λ. The default is IterateRidge.
Number of trial widths in each zoom

Number of trials made at each zoom. The widths tested are equally spaced between the initial upper and lower bounds. Default is 10.

Number of zooms

Number of times you zoom in. Default is 5.

Initial lower bound on widthLower bound on the width for the first zoom. Default is 0.01.
Initial upper bound on width

Upper bound on the width for the first zoom. Default is 20.

Display

If you select this check box, a stem plot of log10(GCV) against width is plotted. The best width is marked by a green asterisk.

Tree Regression.  There are three parts to the tree regression algorithm for RBFs.

Regression Algorithm PartDescription

Tree building

The tree regression algorithm builds a regression tree from the data and uses the nodes of this tree to infer candidate centers and widths for the RBF. The root panel of the tree corresponds to a hypercube that contains all of the data points. This panel is divided into two child panels such that each child contains the same amount of variation, as much as is possible. The child panel with the most variation is then split similarly. This process continues until there are no panels left to split, that is, until no childless panel has more than the minimum number of data points, or until the maximum number of panels is reached. Each panel in the tree corresponds to a candidate center, and the size of the panel determines the width that goes with that vector.

The size of the child panels can be based solely on the size of the parent panel or can be determined by shrinking the child panel onto the data that it contains.

Once you have selected Radial Basis Function in the Global Model Setup dialog box, you can choose Tree Regression from the Width Selection Algorithm list.

Click Advanced to open the Radial Basis Functions Options dialog box to change settings such as maximum number of panels and minimum number of data points per panel. To shrink child panels to fit the data, select Shrink panels to data.

Alpha selection

The size for the candidate widths are not taken directly from the panel sizes. You must scale the panel sizes to get the corresponding widths. This scaling factor is called alpha. The same scaling factor must be applied to every panel in the tree. An alpha selection algorithm determines the optimal value of alpha.

You can choose the parameter Specify Alpha to specify the exact value of alpha to use, or you can select Trial Alpha. Trial Alpha is similar to the Trial Widths algorithm. The only difference is that the Trial alpha algorithm can specify how to space the values to search. Linear is the same as used by Trial widths but Logarithmic searches more values near the lower range.

Click Advanced to open the Radial Basis Functions Options dialog box to change settings such as bounds on alpha, number of zooms, and number of trial alphas. You can select the Display check box to see the progress of the algorithm and the values of alpha trailed.

Center selection

Tree building generates candidate centers, and alpha selection generates candidate widths for these centers. The center selection chooses which of those centers to use.

Generic Center Selection is a center selection algorithm that knows nothing about the tree structure to be used. The algorithm uses Rols, which is a fast way to choose centers and works in this case as well as the usual RBF cases. However, in this case, the candidates for centers are not the data by the centers from the regression tree.

Tree-based center selection uses the regression tree. The regression tree is a natural option to select centers because of how it is built. In particular, the panel corresponding to the root node should be considered for selection before any of its children because it captures coarse detail while nodes at the leaves of the tree capture fine detail. You can also set the maximum number of centers.

Click Advanced to open the Radial Basis Functions Options dialog box to reach the Model selection criteria setting. Model selection criteria determines what function should be used as a measure of how good a model is: BIC (Bayesian information criterion) or GCV (generalized cross- validation). BIC is usually less susceptible to over-fitting than GCV.

Tree Regression and CenterExchange are the only algorithms that permit centers that are not located at the data points. This means that you do not see centers on model plots.

If you leave Alpha selection algorithm as the default Trial Alpha, you will see a progress dialog box when you click OK to begin modeling. An example is shown.

Prune Functionality

You can use the Prune function to reduce the number of centers in a radial basis function network. This process helps you decide how many centers are needed.

To use the Prune functionality:

  1. Select an RBF global model in the model tree.

  2. Either click the button or select Model > Utilities > Prune.

The graphs show how the fit quality of the network builds as more RBFs are added. This functionality makes use of the fact that most of the center selection algorithms are greedy in nature, so the order in which centers are selected roughly reflects the order of importance of the basis functions.

The default fit criteria are the logarithms of PRESS, GCV, RMSE, and weighted PRESS. Additional options are determined by your selections in Summary Statistics. Weighted PRESS penalizes having more centers, so you may want to select a number of centers to minimize weighted PRESS.

Number of centers selector

All four criteria in this example indicate the same minimum at eight centers.

If the graphs all decrease, as in the preceding example, then the maximum number of centers is likely too small, and the number of centers should be increased.

Clicking Minimize button selects the number of centers that minimizes the criterion selected in the list. Ideally, this value also minimizes all the other criteria. Click Clear to return to the previous selection.

Note that reducing the number of centers using Prune only refits the linear parameters. The nonlinear parameters are not adjusted. To perform an inexpensive width refit, select Refit widths on close. If a network has been pruned significantly, click Update Model Fit to perform a full refit of all the parameters.

Statistics

Let A be the matrix such that the weights are given by where X is the regression matrix. The form of A varies depending on the basic fit algorithm employed.

In the case of ordinary least squares, we have A = X'X.

For ridge regression (with regularization parameter λ), A is given by A = X'X + λ.

Next is the Rols algorithm. During the Rols algorithm X is decomposed using the Gram-Schmidt algorithm to give X = WB, where W has orthogonal columns and B is upper triangular. The corresponding matrix A for Rols is then .

The matrix is called the hat matrix, and the leverage of the ith data point hi is given by the ith diagonal element of H. All the statistics derived from the hat matrix, for example, PRESS, studentized residuals, confidence intervals, and Cook's distance, are computed using the hat matrix appropriate to the particular fit algorithm.

becomes

PEV is computed using the form of A appropriate to the particular fit algorithm.

Regression Algorithm PartDescription

GCV criterion

Generalized cross-validation (GCV) is a measure of the goodness of fit of a model to the data that is minimized when the residuals are small, but not so small that the network overfits the data. GVC is easy to compute, and networks with small GCV values should have good predictive capability. GCV is related to the PRESS statistic.

The definition of GCV is given by Orr[4].

where y is the target vector, N is the number of observations, and P is the projection matrix, given by I - XA-1XT.

An important feature of using GCV as a criterion for determining the optimal network in our fit algorithms is the existence of update formulas for the regularization parameter λ. These update formulas are obtained by differentiating GCV with respect to λ and setting the result to zero. That is, they are based on gradient-descent.

This gives the general equation[5]

We now specialize these formulas to the case of ridge regression and to the Rols algorithm.

GCV for ridge regression

As shown in Orr[4] and stated in Orr[5], for the case of ridge regression, GCV can be written as

where is the effective number of parameters that is given by

where NumTerms is the number of terms included in the model.

For RBFs, p is the effective number of parameters, that is, the number of terms minus an adjustment to take into account the smoothing effect of lambda in the fitting algorithm. When lambda = 0, the effective number of parameters is the same as the number of terms.

The formula for updating λ is given by where

In practice, the preceding formulas are not used explicitly in Orr[5]. Instead, a singular value decomposition of X is made, and the formulas are rewritten in terms of the eigenvalues and eigenvectors of the matrix XX'. This avoids taking the inverse of the matrix A, and it can be used to cheaply compute GCV for many values of λ.

GCV for Rols

In the case of Rols, the components for the formula

are computed using the formulas given in Orr[5]. Recall that the regression matrix is factored during the Rols algorithm into the product X = WB. Let wj denote the jth column of W, then you have

and the effective number of parameters is given by

The re-estimation formula for λ is given by where additionally and

Note that these formulas for Rols do not require the explicit inversion of A.

Hybrid Radial Basis Functions

Hybrid RBFs combine a radial basis function model with more standard linear models such as polynomials or hybrid splines. This approach allows you to combine a priori knowledge, such as the expectation of quadratic behavior in one of the variables, with the nonparametric nature of RBFs.

The model setup user interface for hybrid RBFs has a top Set Up button, which you can use to set the fitting algorithm and options. The interface also has two tabs: one to specify the radial basis function part, and one for the linear model part.

Width selection algorithm: TrialWidths.  This algorithm is the same one used in ordinary RBFs, that is, a guided search for the best width parameter.

Lambda and term selection algorithms: Interlace.  This algorithm is a generalization of StepItRols for RBFs. The algorithm chooses radial basis functions and linear model terms in an interlaced way, rather than in two steps. At each step, a forward search is performed to select the radial basis function or the linear model term that most greatly decreases the regularized error. This process continues until the maximum number of terms is chosen. Terms are added using the stored value of lambda until the Number of terms to add before updating has been reached. Subsequently, lambda is iterated after each center is added to improve GCV.

Fit ParameterDescription
Maximum number of terms

Maximum number of terms that will be chosen. The default is the number of data points.

Maximum number of centers

Maximum number of terms that can be radial basis functions. The default is a quarter of the data points, or 25, whichever is smaller.

Note

The maximum number of terms used is a combination of the maximum number of centers and the number of linear model terms. It is limited as follows:

Maximum number of terms used = Minimum(Maximum number of terms, Maximum number of centers + number of linear model terms)

As a result, the model may have more centers than specified in Maximum number of centers, but there will always be fewer terms than (Maximum number of centers + number of linear model terms). You can view the number of possible linear model terms on the Linear Part tab of the Global Model Setup dialog box (Total number of terms).

Percentage of data to be candidate centers

Percentage of the data points that are available to be chosen as centers. The default is 100% when the number of data points is 200.

Number of terms to add before updating

How many terms to add before updating lambda begins.

Minimum change in log10(GCV)

Tolerance.

Maximum no. times log10(GCV) change is minimal

Number of steps in a row that the change in log10(GCV) can be less than the tolerance before the algorithm terminates.

Lambda and term selection algorithms: Two-Step.  This algorithm fits the linear model specified in the linear model pane, then fits a radial basis function network to the residual. You can specify the linear model terms to include in the usual way using the term selector. If desired, you can activate the stepwise options. In this case, after the linear model part is fitted, some of the terms are automatically added or removed before the RBF part is fitted. To select the algorithm and options to fit the nonlinear parameters of the RBF, clicking Set Up in the RBF training options.

References

[1] Chen, S., E. S. Chng, and K. Alkadhimi. "Regularized Orthogonal Least Squares Algorithm for Constructing Radial Basis Function Networks." International Journal of Control 64, no. 5 (1996): 829–37. https://doi.org/10.1080/00207179608921659.

[2] Hassoun, Mohamad H. Fundamentals of Artificial Neural Networks. Cambridge: MIT Press, 1995.

[3] Orr, Mark J. L. "Introduction to Radial Basis Function Networks." Edinburgh: Center for Cognitive Science, 1996.

[4] Orr, Mark. "Optimizing the Widths of Radial Basis Functions." In Proceedings 5th Brazilian Symposium on Neural Networks, Belo Horizonte, Brazil, December 8–11, 1998. IEEE, 2002. https://doi.org/10.1109/SBRN.1998.730989.

[5] Orr, Mark J. L. "Regularization in the Selection of Radial Basis Function Centers." Neural Computation 7, no. 3 (May 1995): 606–23. https://doi.org/10.1162/neco.1995.7.3.606.

[6] Orr, Mark, et al. "Combining Regression Trees and Radial Basis Function Networks." International Journal of Neural Systems 10, no. 6 (2001): 453–65. https://doi.org/10.1142/S0129065700000363.

[7] Wendland, Holder. "Piecewise Polynomial, Positive Definite and Compactly Supported Radial Basis Functions of Minimal Degree." Advances in Computational Mathematics 4 (1995): 389–96. https://doi.org/10.1007/BF02123482.

See Also

Topics