How to put anti wind up (integrator clamping) for PI in simulink
64 visualizaciones (últimos 30 días)
Mostrar comentarios más antiguos
I am using saturation block, but that creates error.
0 comentarios
Respuestas (3)
Birdman
el 12 de En. de 2018
You don't have to create anything on your own. Go to PID Controller block in Simulink, double click it, open PID Advanced part of it. Check Limit output part and then the Anti-windup method will become visible. Then, you can choose clamping as a method. Hope this helps.
2 comentarios
Birdman
el 12 de En. de 2018
That is also possible. Again, go to PID Controller and set its anti-windup method as Clamping as I said before. Click Apply and close the Block Parameters pane. Then, right click PID Controller and select Mask->Look Under Mask. You will encounter a block diagram as attached in figure. You can make one for yourself.
John Harris
el 14 de Jun. de 2018
The PID controller uses the Saturation block. If you don't want a Saturation block, or if your max and min are dynamic, you need to roll your own. The logic is something like,
if(in>max); out=max;
elseif(in<min); out=min;
else; out=in;
end
This logic could be put in a subsystem using any of the following:
* relative operators & Switches
* relative operators, Enabled Subsystems, Merge
* if block, If-Action subsystems, Merge,
and then your subsystem could be a block in your custom library...you could find it useful again.
0 comentarios
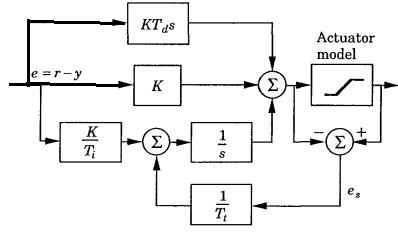
sanjeev
el 11 de Dic. de 2019
Hi,
Please find PID with Anti Wind-up from Astrom book.
K: proportional gain,
K/Ti: integral gain,
KTd: derivative gain,
Tt = sqrt(Ti*Td)
Actuator model = Saturation block (you can define upper and lower depends on hardware you are using)
es = control implemented - control generated
0 comentarios
Ver también
Productos
Community Treasure Hunt
Find the treasures in MATLAB Central and discover how the community can help you!
Start Hunting!